Официальное опубликование правовых актов
ОФИЦИАЛЬНОЕ ОПУБЛИКОВАНИЕ
Постановление Правительства Ростовской области от 16.01.2023 № 20
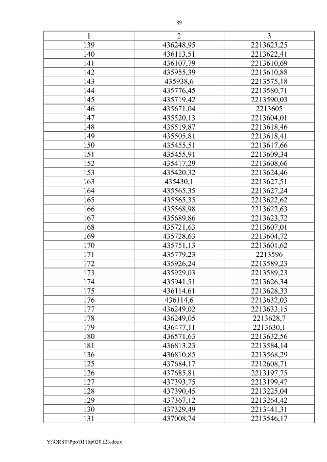
"Об утверждении проекта планировки и проекта межевания территории размещения линейного объекта "Газопровод высокого давления Р = 1,2 МПа от ГРС Ростов-1 до существующих сетей газораспределения (закольцовка) Ростовской области"
Номер опубликования: 6100202301170005
Дата опубликования: 17.01.2023
Страница №89 из 119:
Увеличить