Официальное опубликование правовых актов
ОФИЦИАЛЬНОЕ ОПУБЛИКОВАНИЕ
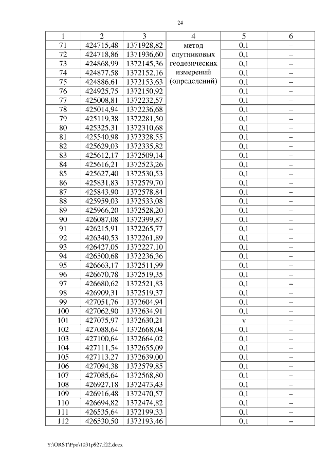
Постановление Правительства Ростовской области от 31.10.2022 № 927
"Об установлении публичного сервитута"
Номер опубликования: 6100202211020009
Дата опубликования: 02.11.2022
Страница №24 из 29:
Увеличить