Официальное опубликование правовых актов
ОФИЦИАЛЬНОЕ ОПУБЛИКОВАНИЕ
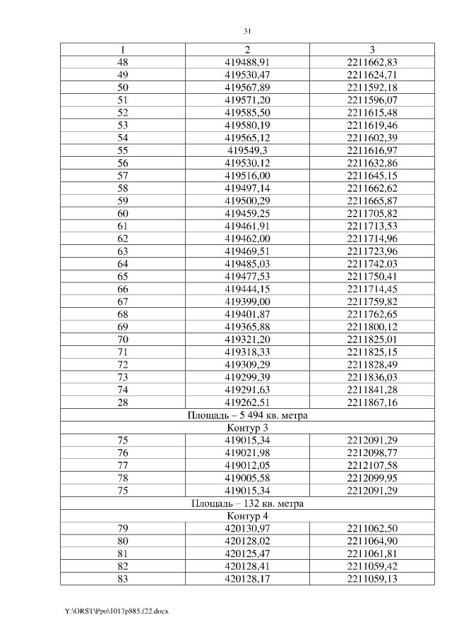
Постановление Правительства Ростовской области от 17.10.2022 № 885
"Об утверждении проекта планировки и проекта межевания территории размещения линейного объекта "Газопровод высокого давления район ул. Левобережной г. Ростова-на-Дону"
Номер опубликования: 6100202210190019
Дата опубликования: 19.10.2022
Страница №31 из 38:
Увеличить