Официальное опубликование правовых актов
ОФИЦИАЛЬНОЕ ОПУБЛИКОВАНИЕ
Постановление Правительства Ростовской области от 17.10.2022 № 875
"Об утверждении проекта изменений в проект межевания территории размещения линейного объекта "Газопровод межпоселковый от х. Кугейский Егорлыкского района к х. Заречный, х. Косенко, с. Октябрьское, с. Ленинка, с. Новоивановка, х. Бакинский, х. Новая Поляна, п. Нижнекугоейский, п. Займище Зерноградского района Ростовской области"
Номер опубликования: 6100202210190010
Дата опубликования: 19.10.2022
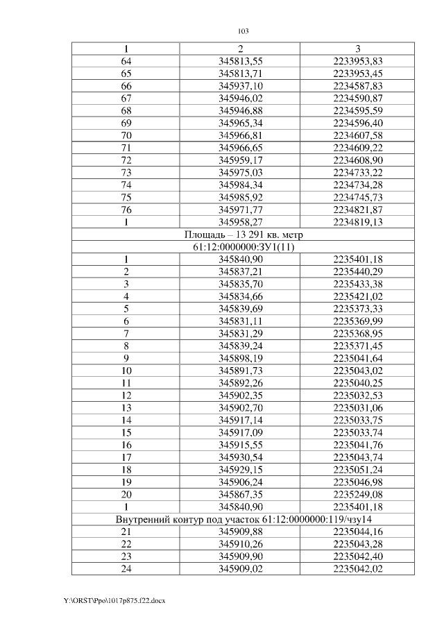
Страница №103 из 211:
Увеличить