Официальное опубликование правовых актов
ОФИЦИАЛЬНОЕ ОПУБЛИКОВАНИЕ
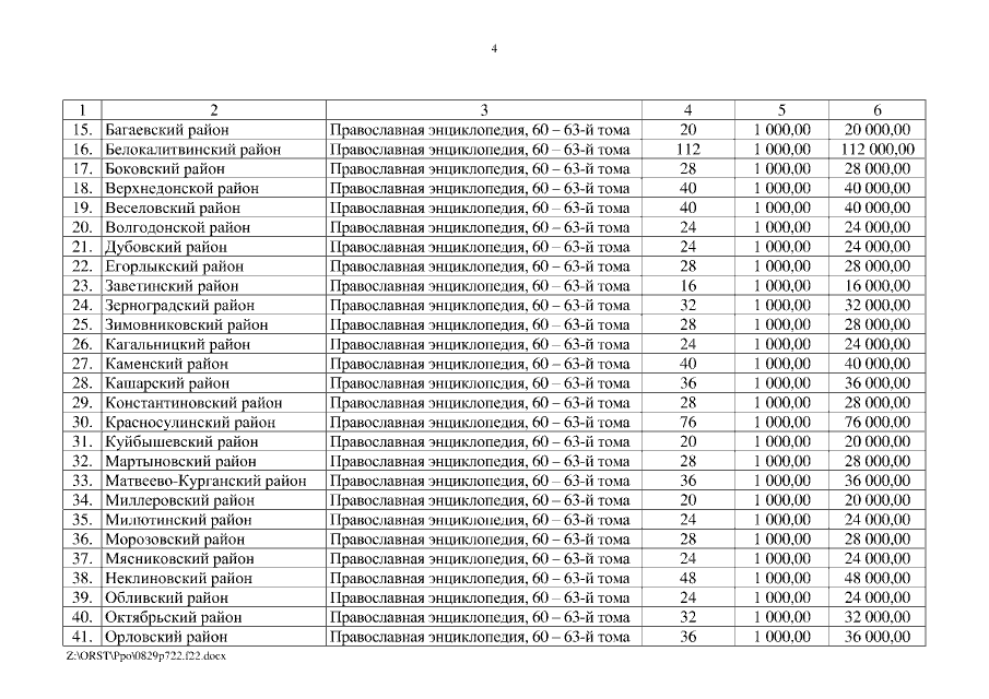
Постановление Правительства Ростовской области от 29.08.2022 № 722
"О передаче имущества из государственной собственности Ростовской области в муниципальную собственность"
Номер опубликования: 6100202208300007
Дата опубликования: 30.08.2022
Страница №4 из 5:
Увеличить