Официальное опубликование правовых актов
ОФИЦИАЛЬНОЕ ОПУБЛИКОВАНИЕ
Постановление Правительства Ростовской области от 15.08.2022 № 682
"Об установлении публичного сервитута"
Номер опубликования: 6100202208170010
Дата опубликования: 17.08.2022
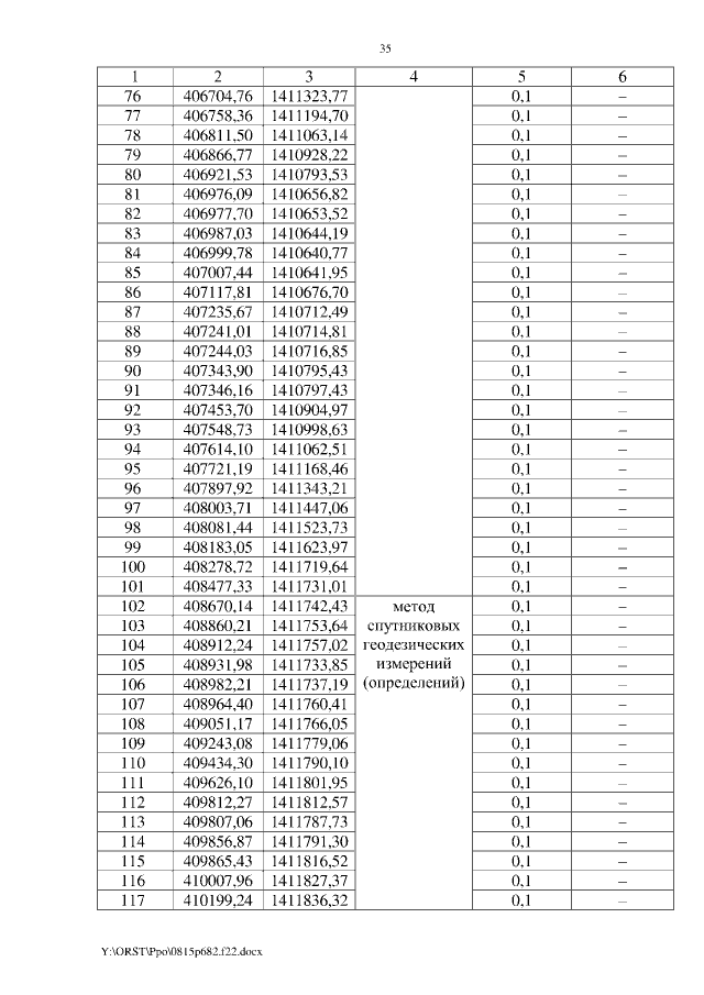
Страница №35 из 49:
Увеличить