Официальное опубликование правовых актов
ОФИЦИАЛЬНОЕ ОПУБЛИКОВАНИЕ
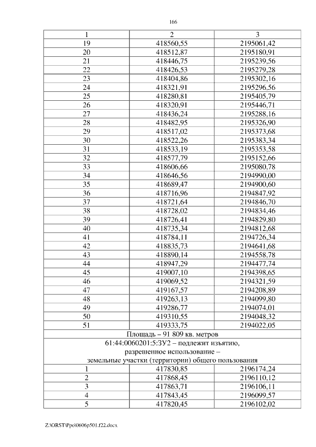
Постановление Правительства Ростовской области от 06.06.2022 № 501
"Об утверждении проекта планировки и проекта межевания территории размещения линейного объекта "Строительство автомобильной дороги "Западная хорда" от а/д А-280 Ростов-на-Дону – Таганрог до моста через реку Дон на Западном обходе (ул. Всесоюзная – Западное шоссе)"
Номер опубликования: 6100202206090010
Дата опубликования: 09.06.2022
Страница №166 из 248:
Увеличить