Официальное опубликование правовых актов
ОФИЦИАЛЬНОЕ ОПУБЛИКОВАНИЕ
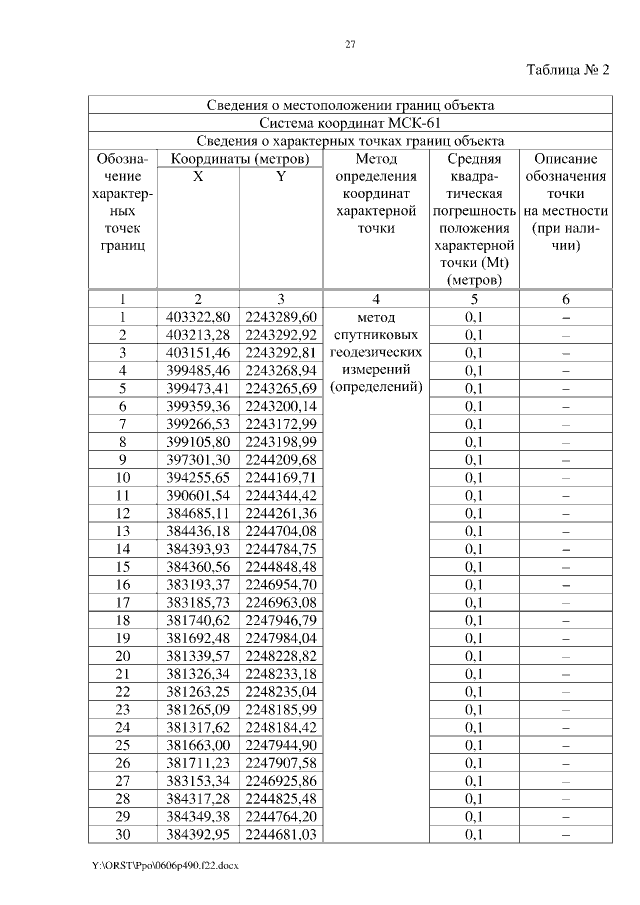
Постановление Правительства Ростовской области от 06.06.2022 № 490
"Об установлении публичного сервитута"
Номер опубликования: 6100202206080011
Дата опубликования: 08.06.2022
Страница №27 из 33:
Увеличить