Официальное опубликование правовых актов
ОФИЦИАЛЬНОЕ ОПУБЛИКОВАНИЕ
Постановление Правительства Ростовской области от 30.05.2022 № 458
"О внесении изменений в постановление Правительства Ростовской области от 30.12.2021 № 1148"
Номер опубликования: 6100202205310029
Дата опубликования: 31.05.2022
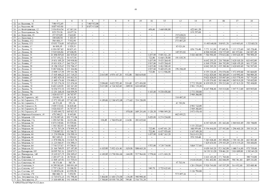
Страница №48 из 285:
Увеличить