Официальное опубликование правовых актов
ОФИЦИАЛЬНОЕ ОПУБЛИКОВАНИЕ
Постановление Правительства Ростовской области от 25.04.2022 № 362
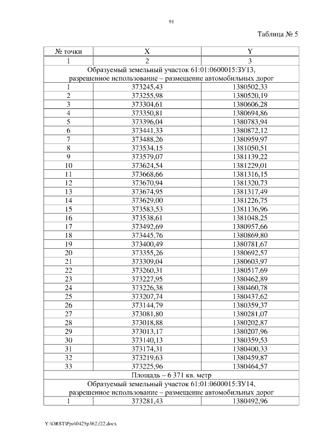
"Об утверждении проекта планировки и проекта межевания территории размещения линейного объекта "Реконструкция автомобильной дороги общего пользования регионального значения г. Азов – с. Александровка – ст. Староминская (до границы Краснодарского края) на участке км 51 + 500 – км 57 + 000 в Азовском районе"
Номер опубликования: 6100202204270024
Дата опубликования: 27.04.2022
Страница №91 из 114:
Увеличить