Официальное опубликование правовых актов
ОФИЦИАЛЬНОЕ ОПУБЛИКОВАНИЕ
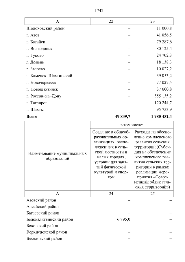
Областной закон Ростовской области от 22.02.2022 № 656-ЗС
"О внесении изменений в Областной закон "Об областном бюджете на 2022 год и на плановый период 2023 и 2024 годов"
Номер опубликования: 6100202202240008
Дата опубликования: 24.02.2022
Страница №1742 из 1832:
Увеличить