Официальное опубликование правовых актов
ОФИЦИАЛЬНОЕ ОПУБЛИКОВАНИЕ
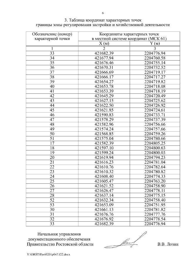
Постановление Правительства Ростовской области от 01.02.2022 № 47
"Об установлении зон охраны объекта культурного наследия регионального значения "Особняк А.Л. Черникова" и утверждении требований к градостроительным регламентам в границах территорий данных зон"
Номер опубликования: 6100202202020001
Дата опубликования: 02.02.2022
Страница №6 из 11:
Увеличить