Официальное опубликование правовых актов
ОФИЦИАЛЬНОЕ ОПУБЛИКОВАНИЕ
Постановление Правительства Ростовской области от 20.12.2021 № 1056
"О внесении изменений в постановление Правительства Ростовской области от 17.10.2018 № 645"
Номер опубликования: 6100202112220005
Дата опубликования: 22.12.2021
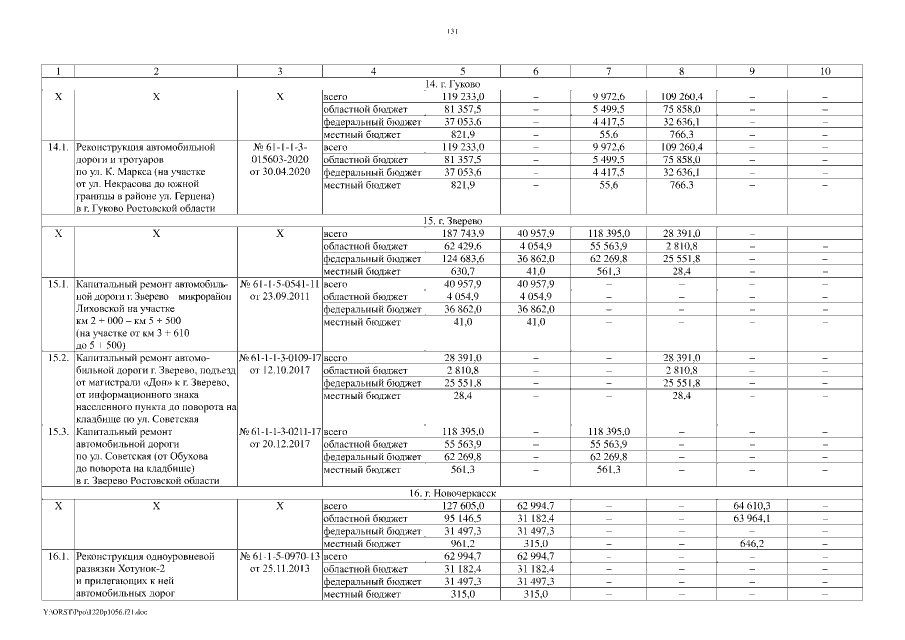
Страница №131 из 148:
Увеличить