Официальное опубликование правовых актов
ОФИЦИАЛЬНОЕ ОПУБЛИКОВАНИЕ
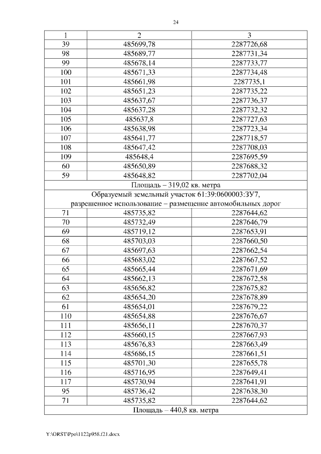
Постановление Правительства Ростовской области от 22.11.2021 № 958
"Об утверждении проекта изменений в проект межевания территории размещения линейного объекта "Реконструкция мостового перехода на км 30 + 150 автомобильной дороги общего пользования межмуниципального значения пос. Усть-Донецкий – х. Евсеевский – х. Голубинка – до а/д "г. Шахты – г. Белая Калитва" в Усть-Донецком районе (корректировка)"
Номер опубликования: 6100202111240001
Дата опубликования: 24.11.2021
Страница №24 из 28:
Увеличить