Официальное опубликование правовых актов
ОФИЦИАЛЬНОЕ ОПУБЛИКОВАНИЕ
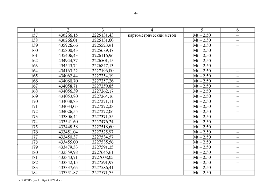
Постановление Правительства Ростовской области от 08.11.2021 № 930
"Об установлении публичного сервитута"
Номер опубликования: 6100202111100017
Дата опубликования: 10.11.2021
Страница №44 из 58:
Увеличить