Официальное опубликование правовых актов
ОФИЦИАЛЬНОЕ ОПУБЛИКОВАНИЕ
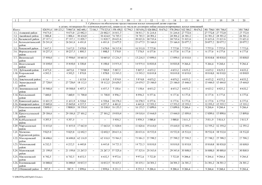
Постановление Правительства Ростовской области от 25.10.2021 № 883
"О внесении изменений в постановление Правительства Ростовской области от 17.10.2018 № 642"
Номер опубликования: 6100202110260006
Дата опубликования: 26.10.2021
Страница №39 из 43:
Увеличить