Официальное опубликование правовых актов
ОФИЦИАЛЬНОЕ ОПУБЛИКОВАНИЕ
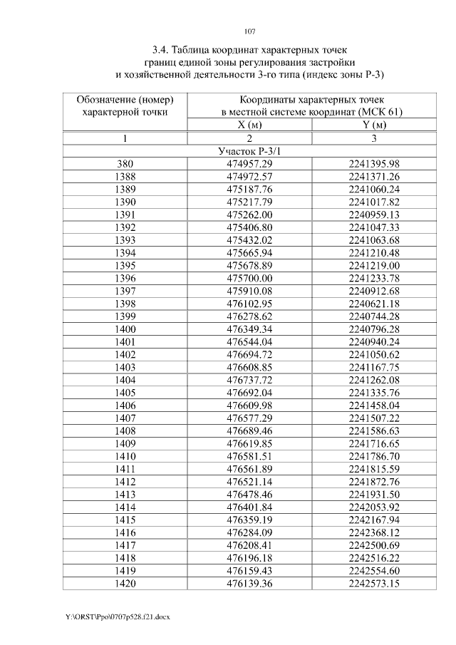
Постановление Правительства Ростовской области от 07.07.2021 № 528
"Об установлении объединенной зоны охраны объектов культурного наследия города Шахты Ростовской области и утверждении требований к градостроительным регламентам в границах территорий данных зон"
Номер опубликования: 6100202107090004
Дата опубликования: 09.07.2021
Страница №107 из 120:
Увеличить