Официальное опубликование правовых актов
ОФИЦИАЛЬНОЕ ОПУБЛИКОВАНИЕ
Постановление Правительства Ростовской области от 19.04.2021 № 310
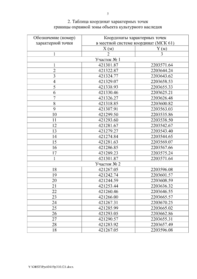
"Об установлении зон охраны объекта культурного наследия регионального значения "Здание высшей парт. школы" и утверждении требований к градостроительным регламентам в границах территорий данных зон"
Номер опубликования: 6100202104220021
Дата опубликования: 22.04.2021
Страница №5 из 12:
Увеличить