Официальное опубликование правовых актов
ОФИЦИАЛЬНОЕ ОПУБЛИКОВАНИЕ
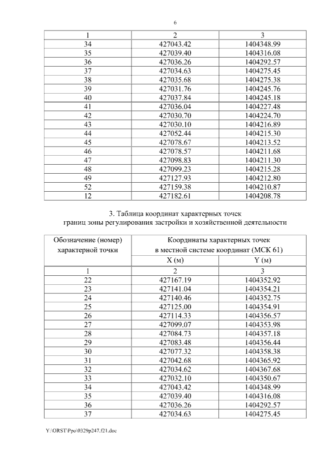
Постановление Правительства Ростовской области от 29.03.2021 № 247
"Об установлении зон охраны объекта культурного наследия регионального значения "Церковь Успения Богородицы" и утверждении требований к градостроительным регламентам в границах территорий данных зон"
Номер опубликования: 6100202103310048
Дата опубликования: 31.03.2021
Страница №6 из 11:
Увеличить