Официальное опубликование правовых актов
ОФИЦИАЛЬНОЕ ОПУБЛИКОВАНИЕ
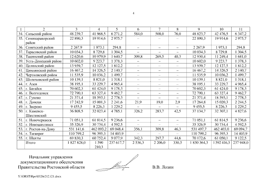
Распоряжение Правительства Ростовской области от 26.03.2021 № 212
"О внесении изменений в распределение субсидий бюджетам муниципальных районов и городских округов на 2021 год и на плановый период 2022 и 2023 годов для софинансирования расходных обязательств, возникающих при выполнении полномочий органов местного самоуправления по вопросам местного значения"
Номер опубликования: 6100202103260002
Дата опубликования: 26.03.2021
Страница №4 из 4:
Увеличить