Официальное опубликование правовых актов
ОФИЦИАЛЬНОЕ ОПУБЛИКОВАНИЕ
Постановление Правительства Ростовской области от 22.03.2021 № 194
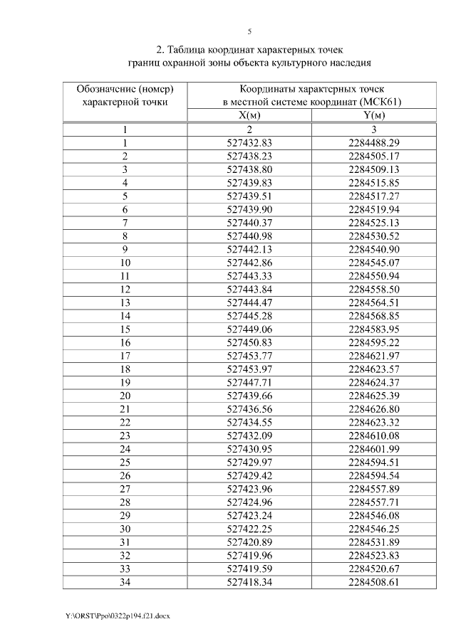
"Об установлении зон охраны объекта культурного наследия регионального значения "Здание атаманского правления" и утверждении требований к градостроительным регламентам в границах территорий данных зон"
Номер опубликования: 6100202103240015
Дата опубликования: 24.03.2021
Страница №5 из 11:
Увеличить