Официальное опубликование правовых актов
ОФИЦИАЛЬНОЕ ОПУБЛИКОВАНИЕ
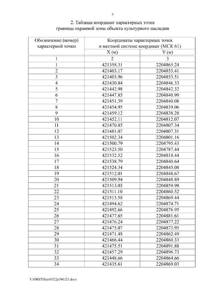
Постановление Правительства Ростовской области от 22.03.2021 № 190
"Об установлении зон охраны объекта культурного наследия регионального значения "Жилой дом А.Ф. Геесбергена" и утверждении требований к градостроительным регламентам в границах территорий данных зон"
Номер опубликования: 6100202103230001
Дата опубликования: 23.03.2021
Страница №5 из 11:
Увеличить