Официальное опубликование правовых актов
ОФИЦИАЛЬНОЕ ОПУБЛИКОВАНИЕ
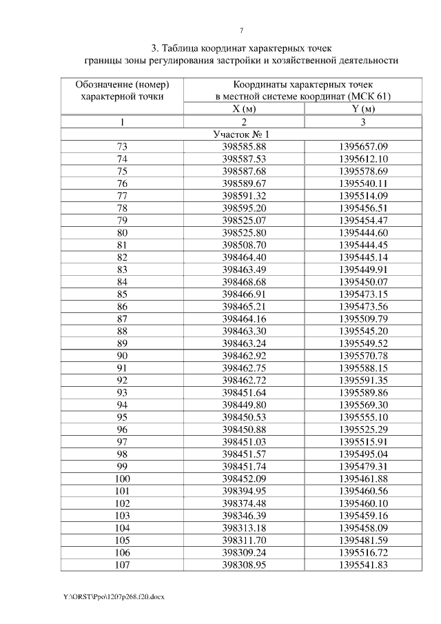
Постановление Правительства Ростовской области от 07.12.2020 № 268
"Об установлении зон охраны объекта культурного наследия регионального значения "Трехпрестольный храм с. Круглое" и утверждении требований к градостроительным регламентам в границах территорий данных зон"
Номер опубликования: 6100202012110045
Дата опубликования: 11.12.2020
Страница №7 из 15:
Увеличить