Официальное опубликование правовых актов
ОФИЦИАЛЬНОЕ ОПУБЛИКОВАНИЕ
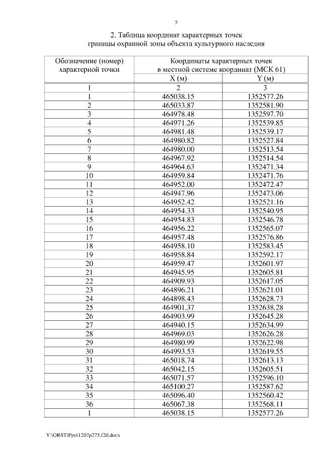
Постановление Правительства Ростовской области от 07.12.2020 № 275
"Об установлении зон охраны объекта культурного наследия регионального значения "Никольская Православная церковь" и утверждении требований к градостроительным регламентам в границах территорий данных зон"
Номер опубликования: 6100202012110041
Дата опубликования: 11.12.2020
Страница №5 из 11:
Увеличить