Официальное опубликование правовых актов
ОФИЦИАЛЬНОЕ ОПУБЛИКОВАНИЕ
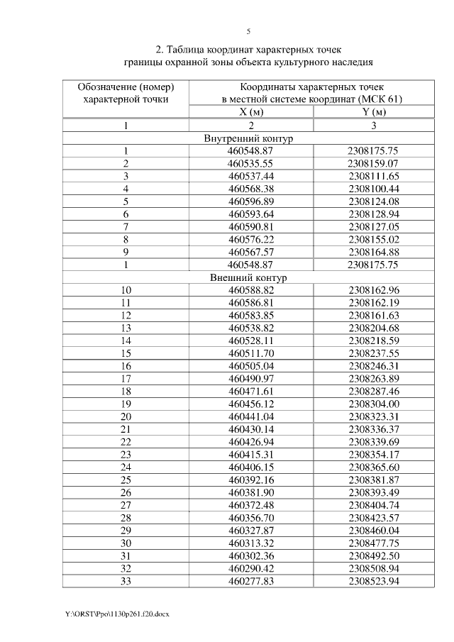
Постановление Правительства Ростовской области от 30.11.2020 № 261
"Об установлении зон охраны объекта культурного наследия регионального значения "Покровская Православная церковь" и утверждении требований к градостроительным регламентам в границах территорий данных зон"
Номер опубликования: 6100202012030016
Дата опубликования: 03.12.2020
Страница №5 из 17:
Увеличить