Официальное опубликование правовых актов
ОФИЦИАЛЬНОЕ ОПУБЛИКОВАНИЕ
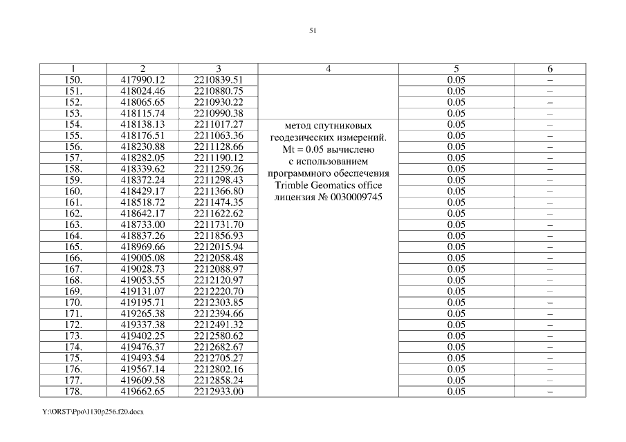
Постановление Правительства Ростовской области от 30.11.2020 № 256
"Об установлении публичного сервитута"
Номер опубликования: 6100202012030005
Дата опубликования: 03.12.2020
Страница №51 из 65:
Увеличить