Официальное опубликование правовых актов
ОФИЦИАЛЬНОЕ ОПУБЛИКОВАНИЕ
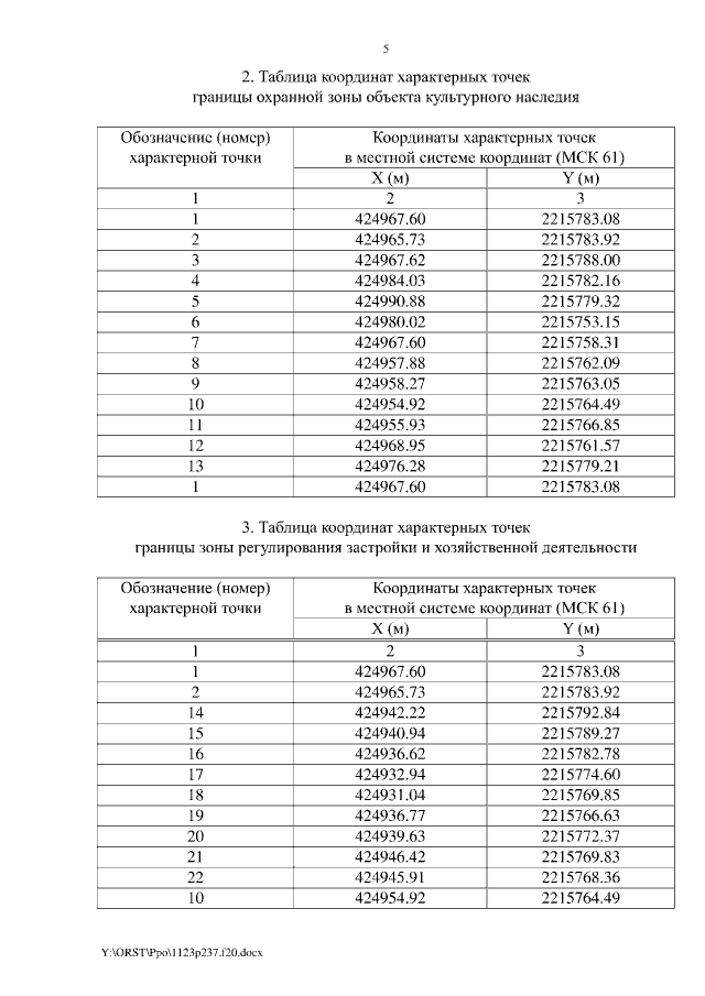
Постановление Правительства Ростовской области от 23.11.2020 № 237
"Об установлении зон охраны объекта культурного наследия регионального значения "Два здания хлебопекарни и кондитерского магазина Алексеева" и утверждении требований к градостроительным регламентам в границах территорий данных зон"
Номер опубликования: 6100202011250024
Дата опубликования: 25.11.2020
Страница №5 из 10:
Увеличить