Официальное опубликование правовых актов
ОФИЦИАЛЬНОЕ ОПУБЛИКОВАНИЕ
Постановление Правительства Ростовской области от 09.11.2020 № 192
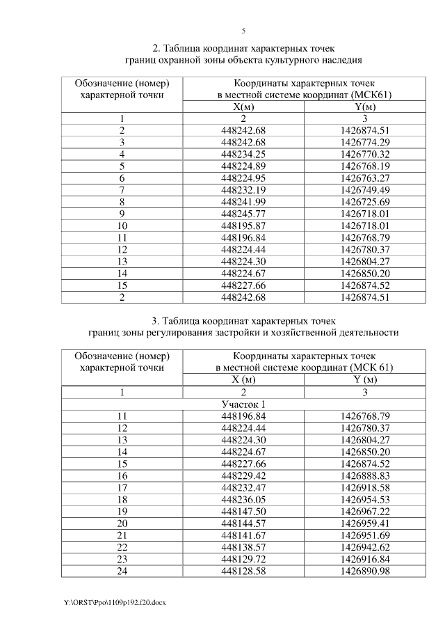
"Об установлении зон охраны объекта культурного наследия регионального значения "Церковь Сурб-Каранет" и утверждении требований к градостроительным регламентам в границах территорий данных зон"
Номер опубликования: 6100202011110023
Дата опубликования: 11.11.2020
Страница №5 из 10:
Увеличить