Официальное опубликование правовых актов
ОФИЦИАЛЬНОЕ ОПУБЛИКОВАНИЕ
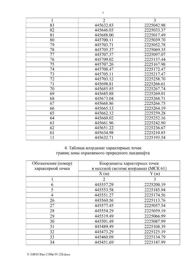
Постановление Правительства Ростовской области от 09.11.2020 № 197
"Об установлении зон охраны объекта культурного наследия регионального значения "Варваринская церковь" и утверждении требований к градостроительным регламентам в границах территорий данных зон"
Номер опубликования: 6100202011110018
Дата опубликования: 11.11.2020
Страница №7 из 12:
Увеличить