Официальное опубликование правовых актов
ОФИЦИАЛЬНОЕ ОПУБЛИКОВАНИЕ
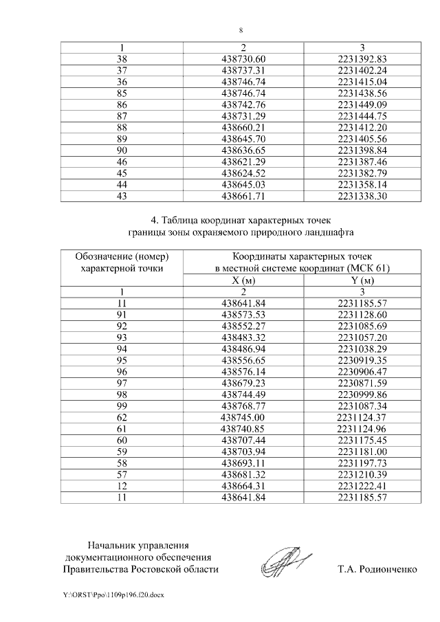
Постановление Правительства Ростовской области от 09.11.2020 № 196
"Об установлении зон охраны объекта культурного наследия регионального значения "Имение Донского атамана М.И. Платова" и утверждении требований к градостроительным регламентам в границах территорий данных зон"
Номер опубликования: 6100202011110016
Дата опубликования: 11.11.2020
Страница №8 из 13:
Увеличить