Официальное опубликование правовых актов
ОФИЦИАЛЬНОЕ ОПУБЛИКОВАНИЕ
Постановление Правительства Ростовской области от 26.10.2020 № 121
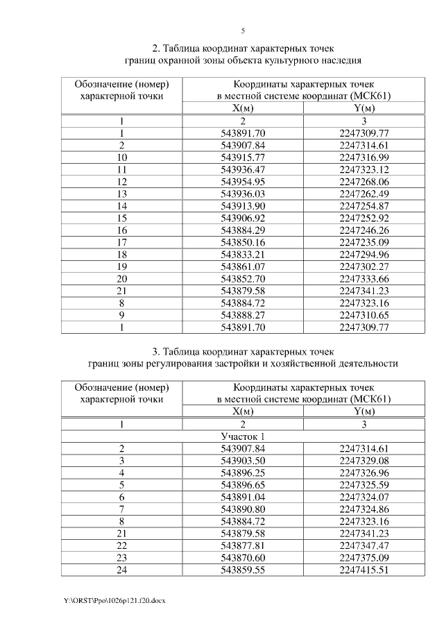
"Об установлении зон охраны объекта культурного наследия регионального значения "Здание, в котором в мае-июне 1942 г. размещался штаб Южного фронта, в июле-декабре (1945-1946 гг.) размещался штаб 5 Донского казачьего кавалерийского корпуса" и утверждении требований к градостроительным регламентам в границах территорий данных зон"
Номер опубликования: 6100202010280009
Дата опубликования: 28.10.2020
Страница №5 из 11:
Увеличить