Официальное опубликование правовых актов
ОФИЦИАЛЬНОЕ ОПУБЛИКОВАНИЕ
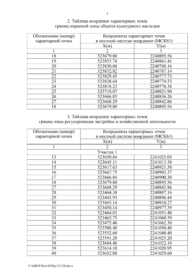
Постановление Правительства Ростовской области от 26.10.2020 № 123
"Об установлении зон охраны объекта культурного наследия регионального значения "Мемориальный комплекс "Парк Победы" и утверждении требований к градостроительным регламентам в границах территорий данных зон"
Номер опубликования: 6100202010280002
Дата опубликования: 28.10.2020
Страница №5 из 9:
Увеличить