Официальное опубликование правовых актов
ОФИЦИАЛЬНОЕ ОПУБЛИКОВАНИЕ
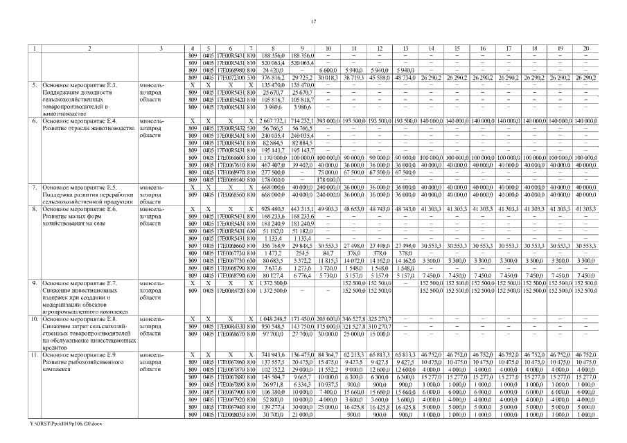
Постановление Правительства Ростовской области от 19.10.2020 № 106
"О внесении изменений в постановление Правительства Ростовской области от 17.10.2018 № 652"
Номер опубликования: 6100202010220006
Дата опубликования: 22.10.2020
Страница №17 из 37:
Увеличить