Официальное опубликование правовых актов
ОФИЦИАЛЬНОЕ ОПУБЛИКОВАНИЕ
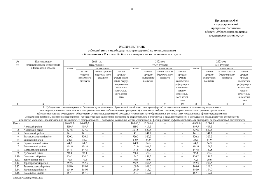
Постановление Правительства Ростовской области от 19.10.2020 № 100
"Об утверждении государственной программы Ростовской области "Молодежная политика и социальная активность"
Номер опубликования: 6100202010220003
Дата опубликования: 22.10.2020
Страница №41 из 51:
Увеличить