Официальное опубликование правовых актов
ОФИЦИАЛЬНОЕ ОПУБЛИКОВАНИЕ
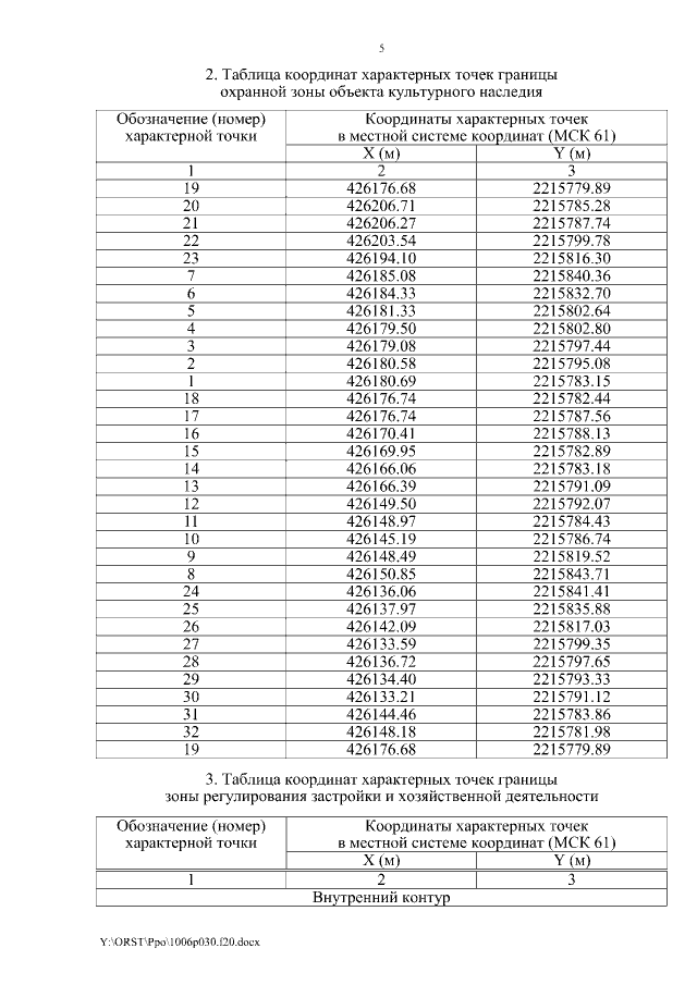
Постановление Правительства Ростовской области от 06.10.2020 № 30
"Об установлении зон охраны объекта культурного наследия регионального значения "Успенская церковь" и утверждении требований к градостроительным регламентам в границах территорий данных зон"
Номер опубликования: 6100202010080023
Дата опубликования: 08.10.2020
Страница №5 из 12:
Увеличить