Официальное опубликование правовых актов
ОФИЦИАЛЬНОЕ ОПУБЛИКОВАНИЕ
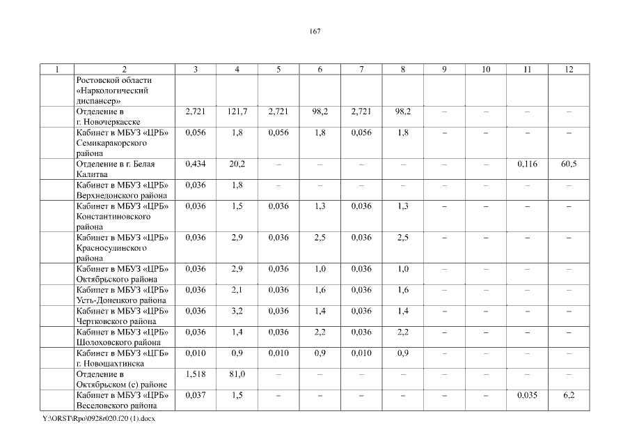
Распоряжение Правительства Ростовской области от 28.09.2020 № 20
"О прогнозных объемах финансирования и лимитах потребления на услуги по водоснабжению, водоотведению и вывозу жидких бытовых отходов на 2021 год и плановый период 2022 и 2023 годов"
Номер опубликования: 6100202010010004
Дата опубликования: 01.10.2020
Страница №167 из 530:
Увеличить