Официальное опубликование правовых актов
ОФИЦИАЛЬНОЕ ОПУБЛИКОВАНИЕ
Постановление Правительства Ростовской области от 24.09.2020 № 13
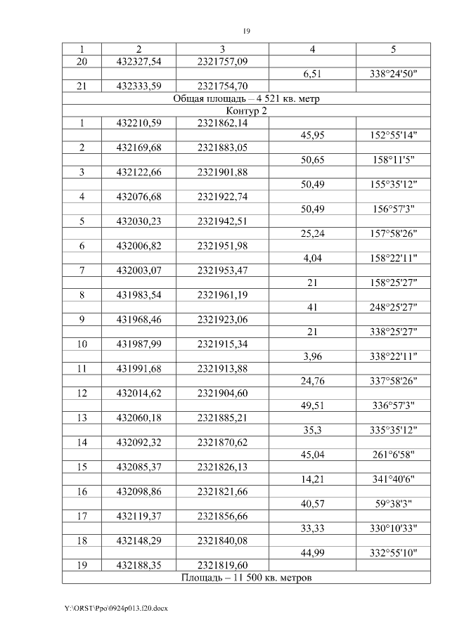
"Об утверждении проекта планировки и проекта межевания территории размещения линейного объекта "Реконструкция мостового перехода на км 87 + 228 автомобильной дороги общего пользования регионального значения г. Пролетарск – х. Сухой – сл. Большая Орловка в Мартыновском районе"
Номер опубликования: 6100202009250028
Дата опубликования: 25.09.2020
Страница №19 из 27:
Увеличить