Официальное опубликование правовых актов
ОФИЦИАЛЬНОЕ ОПУБЛИКОВАНИЕ
Распоряжение Правительства Ростовской области от 15.07.2020 № 563
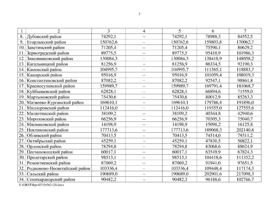
"О внесении изменений в распределение объемов субвенции бюджетам муниципальных районов и городских округов на 2020 год и на плановый период 2021 и 2022 годов на осуществление государственных полномочий в сфере социального обслуживания"
Номер опубликования: 6100202007150001
Дата опубликования: 15.07.2020
Страница №3 из 4:
Увеличить