Официальное опубликование правовых актов
ОФИЦИАЛЬНОЕ ОПУБЛИКОВАНИЕ
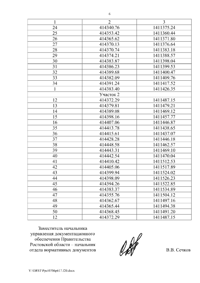
Постановление Правительства Ростовской области от 06.07.2020 № 617
"Об установлении зон охраны объекта культурного наследия регионального значения "Дом казака Болдырева" и утверждении требований к градостроительным регламентам в границах территорий данных зон"
Номер опубликования: 6100202007080007
Дата опубликования: 08.07.2020
Страница №6 из 10:
Увеличить