Официальное опубликование правовых актов
ОФИЦИАЛЬНОЕ ОПУБЛИКОВАНИЕ
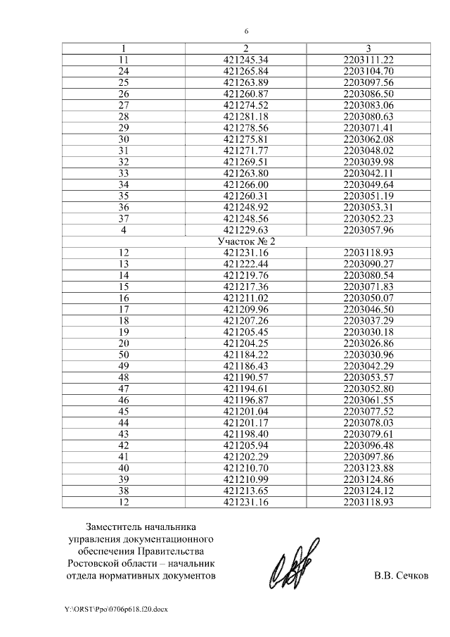
Постановление Правительства Ростовской области от 06.07.2020 № 618
"Об установлении зон охраны объекта культурного наследия регионального значения "Особняк А. Великановой и П. Козловой" и утверждении требований к градостроительным регламентам в границах территорий данных зон"
Номер опубликования: 6100202007080006
Дата опубликования: 08.07.2020
Страница №6 из 11:
Увеличить