Официальное опубликование правовых актов
ОФИЦИАЛЬНОЕ ОПУБЛИКОВАНИЕ
Постановление Правительства Ростовской области от 22.06.2020 № 571
"Об установлении зон охраны объекта культурного наследия регионального значения "Архитектурный комплекс Свято-Троицкой церкви: Свято-Троицкая церковь; Колокольня Свято-Троицкой церкви; Часовня Свято-Троицкой церкви; Церковно-приходская школа Свято-Троицкой церкви; Служебные и жилые постройки; Ограда Свято-Троицкой церкви" и утверждении требований к градостроительным регламентам в границах территорий данных зон"
Номер опубликования: 6100202006250011
Дата опубликования: 25.06.2020
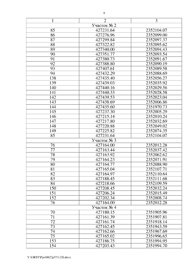
Страница №9 из 20:
Увеличить