Официальное опубликование правовых актов
ОФИЦИАЛЬНОЕ ОПУБЛИКОВАНИЕ
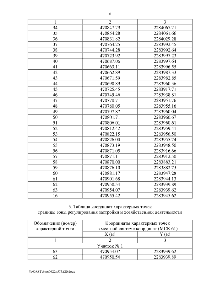
Постановление Правительства Ростовской области от 22.06.2020 № 573
"Об установлении зон охраны объекта культурного наследия регионального значения "Одигитриевская православная церковь" и утверждении требований к градостроительным регламентам в границах территорий данных зон"
Номер опубликования: 6100202006250004
Дата опубликования: 25.06.2020
Страница №6 из 13:
Увеличить