Официальное опубликование правовых актов
ОФИЦИАЛЬНОЕ ОПУБЛИКОВАНИЕ
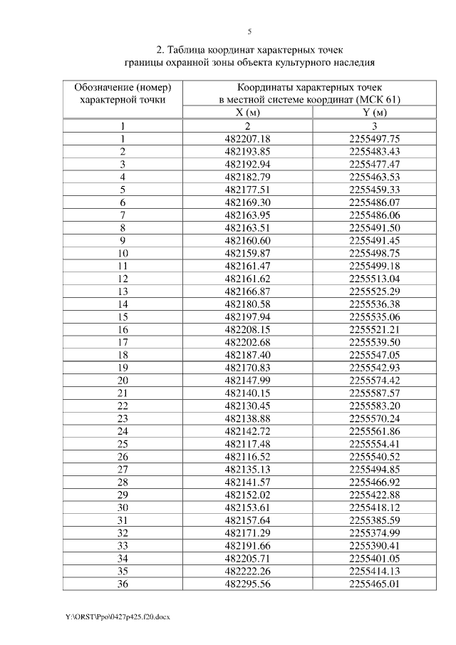
Постановление Правительства Ростовской области от 27.04.2020 № 425
"Об установлении зон охраны объекта культурного наследия регионального значения "Георгиевская православная церковь" и утверждении требований к градостроительным регламентам в границах территорий данных зон"
Номер опубликования: 6100202004290027
Дата опубликования: 29.04.2020
Страница №5 из 11:
Увеличить