Официальное опубликование правовых актов
ОФИЦИАЛЬНОЕ ОПУБЛИКОВАНИЕ
Постановление Правительства Ростовской области от 20.04.2020 № 362
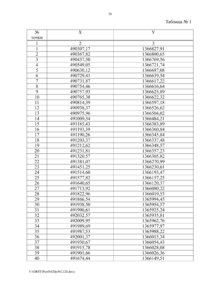
"Об утверждении проекта планировки и проекта межевания территории размещения линейного объекта "Реконструкция автомобильной дороги общего пользования регионального значения с. Самбек – пос. Матвеев Курган – с. Куйбышево – г. Снежное (до границы с Украиной) на участке км 73 + 000 – км 75 + 000 в Куйбышевском районе"
Номер опубликования: 6100202004220007
Дата опубликования: 22.04.2020
Страница №26 из 35:
Увеличить