Официальное опубликование правовых актов
ОФИЦИАЛЬНОЕ ОПУБЛИКОВАНИЕ
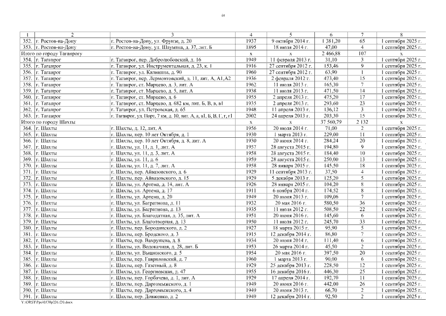
Постановление Правительства Ростовской области от 30.03.2020 № 226
"О внесении изменений в постановление Правительства Ростовской области от 12.08.2016 № 569"
Номер опубликования: 6100202004010010
Дата опубликования: 01.04.2020
Страница №44 из 61:
Увеличить