Официальное опубликование правовых актов
ОФИЦИАЛЬНОЕ ОПУБЛИКОВАНИЕ
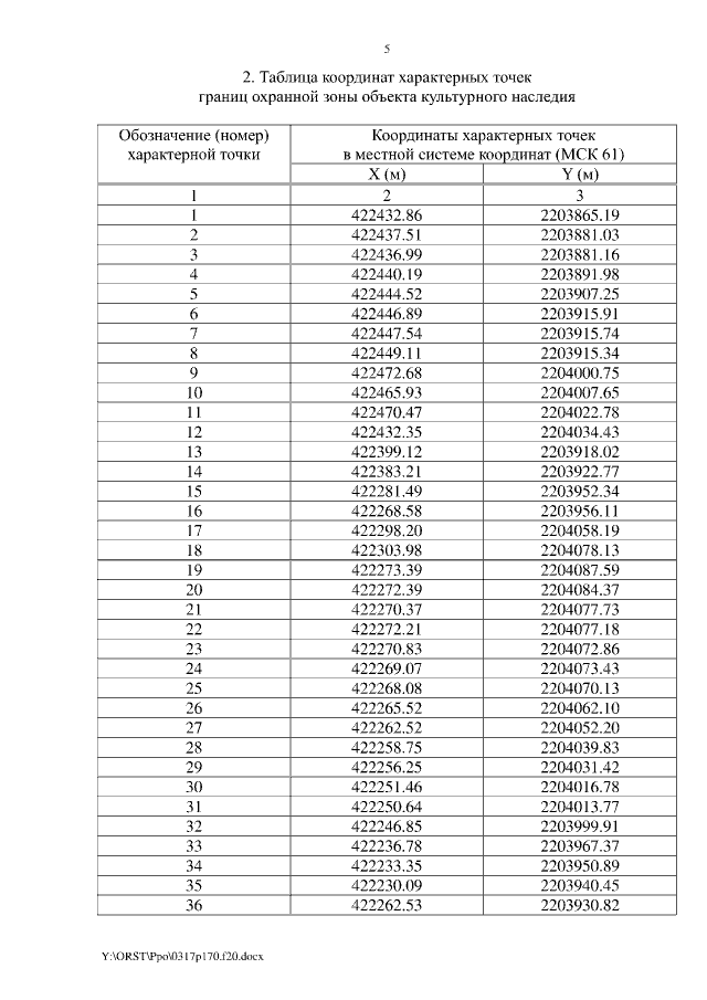
Постановление Правительства Ростовской области от 17.03.2020 № 170
"Об установлении зон охраны объекта культурного наследия регионального значения "Комплекс промышленных зданий табачной фабрики В.И. Асмолова, с 1920 г. – Донской государственной табачной фабрики, реконструкция 1943 – 1957 гг." и утверждении требований к градостроительным регламентам в границах территорий данных зон"
Номер опубликования: 6100202003190012
Дата опубликования: 19.03.2020
Страница №5 из 13:
Увеличить