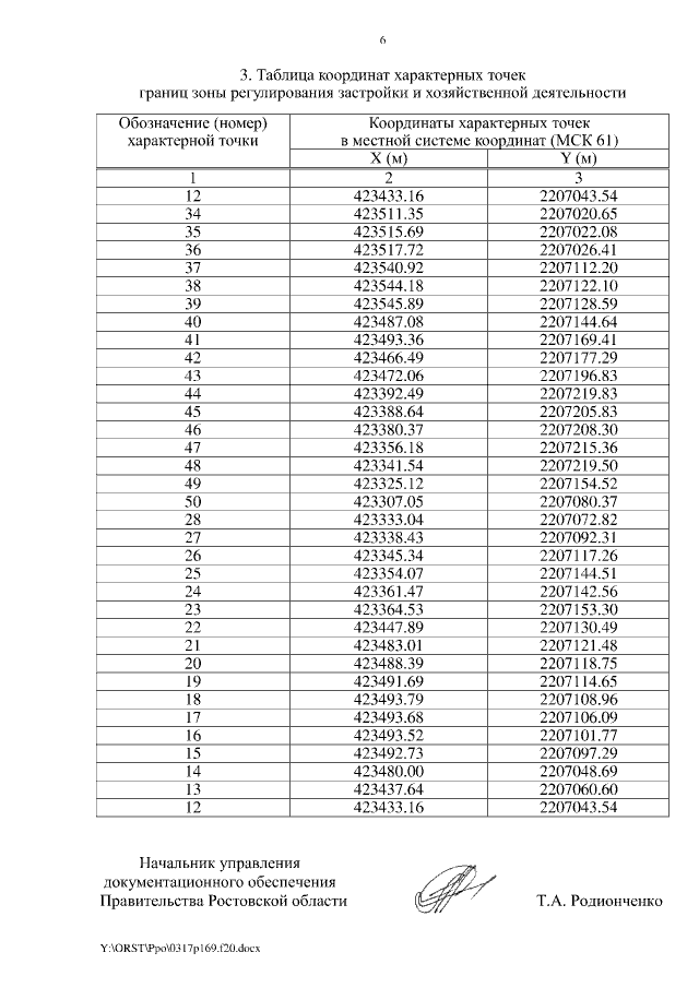
Постановление Правительства Ростовской области от 17.03.2020 № 169
"Об установлении зон охраны объекта культурного наследия регионального значения "Комплекс Мариинской горбольницы" и утверждении требований к градостроительным регламентам в границах территорий данных зон"
"Об установлении зон охраны объекта культурного наследия регионального значения "Комплекс Мариинской горбольницы" и утверждении требований к градостроительным регламентам в границах территорий данных зон"
Номер опубликования: 6100202003190011
Дата опубликования:
19.03.2020
