Официальное опубликование правовых актов
ОФИЦИАЛЬНОЕ ОПУБЛИКОВАНИЕ
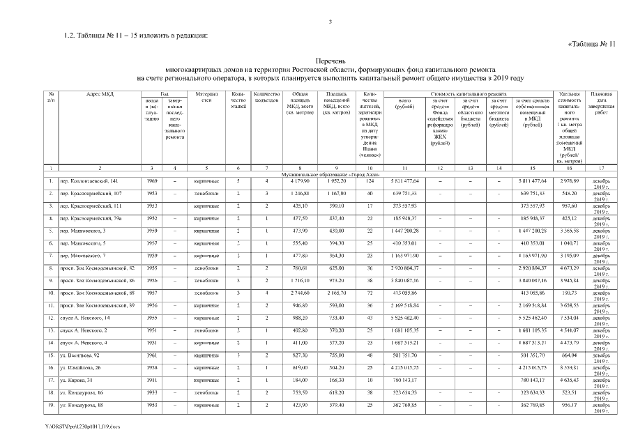
Постановление Правительства Ростовской области от 30.12.2019 № 1011
"О внесении изменений в постановление Правительства Ростовской области от 29.12.2016 № 912"
Номер опубликования: 6100201912310035
Дата опубликования: 31.12.2019
Страница №3 из 75:
Увеличить