Официальное опубликование правовых актов
ОФИЦИАЛЬНОЕ ОПУБЛИКОВАНИЕ
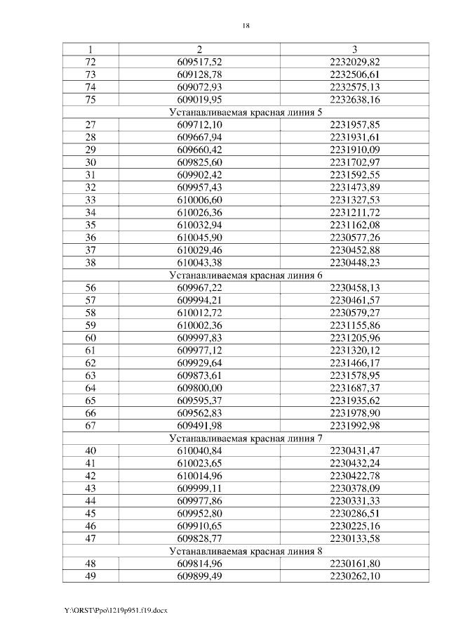
Постановление Правительства Ростовской области от 19.12.2019 № 951
"Об утверждении проекта планировки и проекта межевания территории размещения автомобильной дороги обход территории Украины автомобильной дорогой общего пользования г. Миллерово — г. Луганск (до границы Украины)"
Номер опубликования: 6100201912230004
Дата опубликования: 23.12.2019
Страница №18 из 51:
Увеличить