Официальное опубликование правовых актов
ОФИЦИАЛЬНОЕ ОПУБЛИКОВАНИЕ
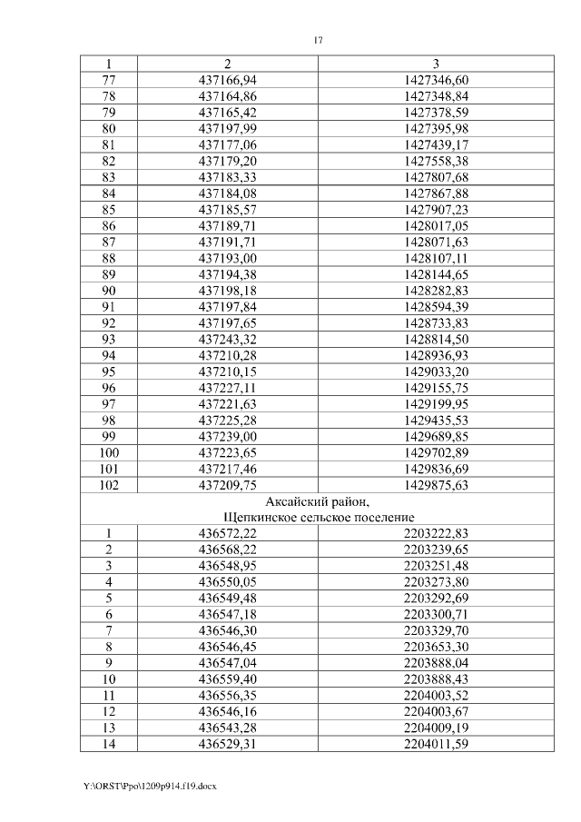
Постановление Правительства Ростовской области от 09.12.2019 № 914
"Об утверждении проекта изменений в проект планировки и проект межевания территории размещения линейного объекта "Подземный распределительный газопровод местного значения давлением до 1,2 МПа для газификации населения в п. Темерницкий Щепкинского сельского поселения Аксайского района в границах коттеджного поселка (ДНТ) "Ореховая роща"
Номер опубликования: 6100201912110004
Дата опубликования: 11.12.2019
Страница №17 из 50:
Увеличить